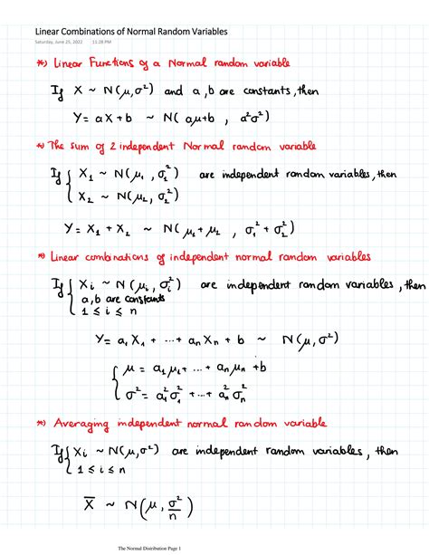
Jean Clapper Blog